
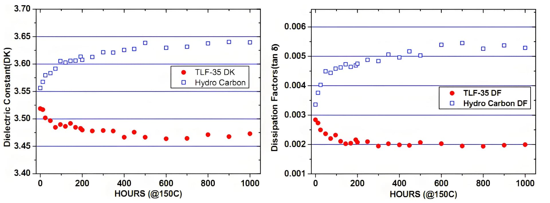
Taconic RF-35 유전 상수 변이 차트.
Taconic RF-35 혜택:저렴한 비용, 우수한 껍질 강도, 매우 낮은 DF, 낮은 수분 흡수, 매우 높은 열 신뢰성
Taconic RF-35 응용 프로그램 : 필터, 연결기, 쪼개는 도구, 결합기와 믹서, 안테나, 고전력 증폭기, TMA, TMB, LNA, 연발총, 수동 구성 요소, 의료 스캐너
RF35 PCB
1. RF-35는 Taconic Product Orcer의 유기 세라믹 라미네이트 물질입니다..
2. 유리섬유포를 기반으로 한 강화유리 소재입니다., Taconic의 세라믹 충전 기술과 유리 섬유 코팅 Teflon PCB 기술의 조합입니다..
3. RF-35는 저비용에 가장 적합한 선택입니다, 대용량 상업용 전자레인지 및 무선 주파수 애플리케이션.
4. RF-35의 유리 전이 온도. 위에 315 섭씨온도.

Taconic RF-35 재료 특성 테이블.
5. RF-35의 초 낮은 수분 흡수 및 낮은 손실 계수는 주파수 범위의 위상 이동을 최소화합니다..
6. RF-35의 치수 안정성은 설계 및 개발에 유리 섬유 천을 사용하기 때문입니다..
7. RF-35 테플론 PCB 재료, 일반적으로 단면 또는 양면 1/20z, 10Z 및 20z 두꺼운 전해질 구리 포일. 요구 사항에 따라 다양한 크기의 플레이트를 선택할 수 있습니다..
8. Taconic RF-35 1/20z 및 10z 구리 포일 보드, 표준 에폭시 물질을 사용하더라도, 껍질 힘이 뛰어나고 언제든지 재 작업 할 수 있습니다..
UGPCB 로고













